نظام التصنيف في الشطرنج ELO
التصنيف في الشطرنج هو أداة تسهل قياس الأداء المحتمل للاعب ضد لاعب آخر، أما نظام التقييم فهو نظام يعتمد على مبدأ الاحتمال بحيث تكون المكافأة والعقاب متناسبة مع الاحتمالات المختلفة للخصوم التي يمكن أن يقابلها اللاعب.نظام تصنيف Elo هو نظام إحصائي يُستخدم لقياس المهارة النسبية للاعبين في الألعاب التنافسية مثل الشطرنج. طوَّره الفيزيائي الأمريكي المجري أرپاد إلو (Arpad Elo) في الستينيات، واعتمدته الاتحادية الدولية للشطرنج (FIDE) رسمياً عام 1970، نشير إلى أن هذا النظام في التصنيف لا يقتصر على الشطرنج فقط، بل يمكن أن يشمل أي نظام متوازن في اللعب، أي عدد الفائزين يساوي عدد الخاسرين مثل كرة القدم والسلة وغيرها من الألعاب الثنائية، يستخدم حالياً هذا التصنيف في العديد من البطولات الرياضية الاحترافية والألعاب الرياضية الإلكترونية.
معظم اتحادات ومواقع الشطرنج تستخدم إما نظام تصنيف Elo أو Glicko لتقييم لاعبيها.
نظام Glicko مطور عن نظام Elo ويعتبر أكثر دقة لأنه يأخذ في الاعتبار المزيد من العوامل عند حساب تصنيف كل لاعب.
إليك شرح مفصل عن كيفية عمل هذا النظام:
المبدأ الأساسي
يُعطى كل لاعب تصنيفاً رقمياً (Rating) يعكس مستوى مهارته، ويتغير التصنيف بعد كل مباراة بناءً على:
نتيجة المباراة (فوز، خسارة، تعادل).
التصنيف الحالي للخصم.
الفكرة الرئيسية: اللاعبون الأعلى تصنيفاً يُتوقع أن يهزموا اللاعبين الأقل تصنيفاً.
الميزة الرئيسية التي يجب ملاحظتها بشأن نظام تصنيف الشطرنج هي أنه لا يقيس قوة اللاعب بالفعل، بل يستخدم صيغة حسابية لتحديد احتمالات الفوز أو التعادل أو الخسارة لكل لاعب للعبة بناءً على فرق التصنيف بين اللاعبين.
تعتبر التقييمات مجرد أداة للمقارنة بين اداء اللاعبين فقط.
لتسهيل فهم ذلك، دعنا نحلل المثال التالي. إذا لعب شخصان يحملان تصنيف 1500 عشر مباريات، فليس من الضروري أن يتعادلا في كل المباريات بما أنهما يحملان نفس التصنيف. من المحتمل أن يفوزان ويتعادلان نفس العدد تقريبًا من المباريات وينتهيان بنقاط مماثلة نسبياً في نهاية التحدي.
إذا استبدلنا أحد هؤلاء اللاعبين بلاعب حاصل على تصنيف 1600، فستكون التوقعات مختلفة نوعاً ما. من المحتمل أن يفوز اللاعب الأقوى بعدد أكبر من المباريات، ولكن لا يزال احتمال أن يخسر التحدي أو بعض المباريات موجوداً.
يتم تعديل تصنيف كل لاعب بعد نهاية كل مباراة مقيّمة يلعبها وفقاً لنتيجة المباراة. لأنه يعتمد فقط على حساب احتمالات الفوز أو التعادل وليس لقوة اللاعب، أي يختلف مقدار النقاط بعد كل لعبة اعتماداً على فرق التصنيف بين اللاعبين وبمعنى آخر فإنك لا تكسب الكثير من النقاط عندما تفوز على لاعب بمستواك.
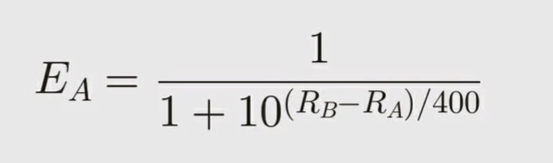
حساب النتيجة المتوقعة (Expected Score)
قبل المباراة، يُحسب احتمال فوز كل لاعب أو تعادله باستخدام المعادلة التالية:
حيث:
النتيجة المتوقعة للاعب A (نسبة انتظاره للفوز + نصف نسبة التعادل)، هي EA
تصنيف اللاعب A، هو RA
تصنيف اللاعب B، هو RB
ثابت التحديث (K-Factor)
- يحدد مدى سرعة تغير التصنيف:
- K = 40: للاعبين الجدد (حتى 30 مباراة) لسرعة تحديد تصنيفهم الحقيقي.
- K = 20: للاعبين ذوي التصنيف أقل من 2400.
- K = 10: للنخبة (أعلى من 2400).
- كلما زادت قيمة K، زادت التغييرات في التصنيف بعد كل مباراة.
• خصائص النظام
نظام صفري المجموع: النقاط التي يكسبها لاعب ما تُخصم من خصمه (إذا تساوى K لكليهما).
لا يعتمد على الفارق في النتيجة: سواء فاز اللاعب بخطوة واحدة أو هيمن كاملة، التغيير في التصنيف يكون نفسه.
توزيع لوجستيكي: يعتمد على دالة لوجستيكية أو منطقية (Logistic Function) لتقدير الاحتمالات، وهي أشبه بمنحنى التوزيع الطبيعي لكنه أسهل حسابياً.
إيجابيات وسلبيات النظام
الإيجابيات:
- بسيط وشفاف.
- يتكيف مع تطور مهارة اللاعبين.
- فعال في التنبؤ بنتائج المباريات.
السلبيات:
- لا يأخذ في الاعتبار "قوة اللعب" أو الأخطاء الفردية.
- قد يُستغل إذا لعب اللاعبون ضد خصوم محددين لتحسين تصنيفهم بشكل مصطنع.
- لا يعكس التغيرات السريعة في المهارة (خاصة مع K منخفض).
بعض الحقائق مثيرة
أعلى تصنيف في التاريخ سجله ماغنوس كارلسن (Magnus Carlsen) بـ 2882 نقطة (2014)، ويمكن لمحركات الشطرنج الوصول إلى تقييم أعلى من 3400، مما يجعل من المستحيل أن يتغلب عليه الإنسان.
You may also like
ألعاب بطولات العالم
جميع مباريات بطولات العالماتجاهات اللعب في دفاع كارو-كان
يستعرض هذا التحليل تطور شعبية خطوط دفاع كارو-كان المختلفة عبر العقود. استخدمت قاعدة بيانات Chessbase…
Ahmed_3ssaf